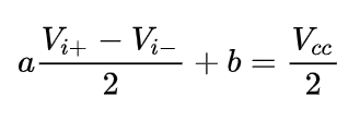
单电源供电 元器件百科 单电源供电简介双电源是由一个正电源和一个相等的负电源组成,一般是正负15伏,正负12伏,正负5伏,输入和输出电压都是参考地给出的,一般教课书中的涉及到的运放都采用的是这种双电源的供电方法,但是在一些实际生产设计中没有或者只能采用单电源的供电的方法时,就有必要采取相应的解决方法。单电源供电时,正电源接Vcc,电源地接公共地,并需要将正电压Vcc的一半电压Vcc/2作为虚地接到运放的同相输入端,一般也 芯城品牌采购网 2025-10-29 5576 电源
低压电源 元器件百科 低压电源简介高低压电源有两种划分方式,一种是根据人的安全与否,即36v以下是低电压,36v以上是高电压;而更常用的一种划分方式是1kv(交流)以下的电压称为低电压,1kv以上的电压称为高电压。许多集成电路(如微处理器、数字信号处理器、动态随机存取存储器和静态随机存取存储器)在直流电源电压下工作。因此,在典型的计算机系统中,首先通过交流-直流变换器将应用系统的交流电压转变成直流电压。一旦得到一个直流 芯城品牌采购网 2025-10-29 5235 低压电源
双电源供电 元器件百科 双电源供电特点双电源供电和双回路供电,人们一般都认为是一码事,互相混淆。但是事实上是有一些区别的。一用一备如果指的是馈电线路,就不能称之为双电源供电了。双电源比双回路可靠,但对建筑单体来说,两者看起来好象没有什么区别,很多情况下都是两路进线。双电源有一种情况是这样的:两路进线接自不同的区域变电站;而对应,双回路有一种情况是这样的:两路进线接自同一区域变电站的不同母线。所以,“双回路”中的这个回路指 芯城品牌采购网 2025-10-29 4375 电源
以太网电源 元器件百科 以太网电源特点以太网电源中的电源装置简称为PD,它具有以下特点:――能提供PD检测与分类信号;――能提供到DC/DC电源变换器的软启动接口;――具有过电流保护、过电压保护、过热保护等功能。以太网电源必要性1.节省成本PoE无需进行独立的数据和电源基建安装,故可节省时间和金钱.2.简易性电源与以太网基建完全整合,因此在不方便提供电源的地方供电时变得更简易.3.可靠性随着加入中央UPS一起使用,其可靠 芯城品牌采购网 2025-10-29 9250 以太网电源
单晶硅片 元器件百科 单晶硅片简介单晶硅是一种比较活泼的非金属元素,是晶体材料的重要组成部分,处于新材料发展的前沿。其主要用途是用作半导体材料和利用太阳能光伏发电、供热等。由于太阳能具有清洁、环保、方便等诸多优势,近三十年来,太阳能利用技术在研究开发、商业化生产、市场开拓方面都获得了长足发展,成为世界快速、稳定发展的新兴产业之一。单晶硅可以用于二极管级、整流器件级、电路级以及太阳能电池级单晶产品的生产和深加工制造,其后 芯城品牌采购网 2025-10-29 12092 单晶硅片
单极直流接触器 元器件百科 单极直流接触器参数1、环境温度:-25~+40℃,24h平均值不超过+35℃;2、相对湿度:+25℃达90%;3、固定处的振动频率:1~50Hz(频率1~10Hz;振幅25/f;频率10~50Hz;振幅250/f2);4、冲击加速度:30m/s2;;5、安装方向:任意;6、安装方式:螺钉安装;7、适用工作制:不间断工作制(DC-1)单极直流接触器特点1、本产品设计结构紧凑、坚固;体积小、重量轻;2 芯城品牌采购网 2025-10-29 9346 单极直流接触器
单相电子式电能表 元器件百科 单相电子式电能表特点1、采用先进的专用集成电路和SMT、热风回流焊、波峰焊工艺设计、制造,质量可靠。2、宽电压范围设计,从154V~264V均能正常工作,同时418V时电表不损坏,提高了电表对工作环境的适应性。3、全密封防尘、防水设计,表壳材料具有优良的阻燃和抗腐蚀、抗老化性能。单相电子式电能表功能基本功能1、性能优于gb/t17215—2002《1级和2级静止式交流有功电能表》,通信规约符合dl 芯城品牌采购网 2025-10-29 7032 单相电子式电能表
单相交流电动机 元器件百科 单相交流电动机旋转原理有外力时单相交流电动机只有一个绕组,转子是鼠笼式的。当单相正弦电流通过定子绕组时,电动机就会产生一个交变磁场,这个磁场的强弱和方向随时间作正弦规律变化,但在空间方位上是固定的,所以又称这个磁场是交变脉动磁场。这个交变脉动磁场可分解为两个以相同转速、旋转方向互为相反的旋转磁场,当转子静止时,这两个旋转磁场在转子中产生两个大小相等、方向相反的转矩,使得合成转矩为零,所以电动机无法 芯城品牌采购网 2025-10-29 10400 单相交流电动机
交换式电源供应器 元器件百科 交换式电源供应器电路介绍(a)EMI滤波器:S.P.S.中内建的电源滤波器,来滤除S.P.S.所产生的EMI干扰。(b)浪涌电流抑制:在S.P.S.启动瞬间会产生一大的浪涌电流,浪涌电流过大,易损坏S.P.S.且易对配电系统造成不良影响,故在S.P.S.中均有浪涌电流抑制电路。(c)输入整流:用来将输入的交流电源转换为直流电源。(d)转换器:将直流电源切换成高频讯号经高频变压器作升/降电压。(e) 芯城品牌采购网 2025-10-29 7560 电源供应器
一次电源 元器件百科 一次电源简介一次电源是指将电网市电变换成标称值为48V的直流电。传统采用可控硅相控整流技术,比起历史上曾经采用的汞弧整流器经过电阻网络来得到不同大小的直流电压来说,是一次革命。缺点是比起用电的通信主机来说,体积庞大、笨重,热损耗较大,输出纹波大,无功功率较大,对电网污染明显。新型的通信用一次电源,就是高频开关整流电源,是将市电直接整流,然后经过高频开关功率变换,得到高频交流电,再经过整流滤波而得到 芯城品牌采购网 2025-10-29 3593 电源
三相电源 元器件百科 三相电源特点中国民用供电使用三相电作为楼层或小区进线,多用星形接法,其相电压为220V,而线电压为380V(近似值),需要中性线,一般也都有地线,即为三相五线制。而进户线为单相线,即三相中的一相,对地或对中性线电压均为220V。一些大功率空调等家用电器也使用三相四线制接法,此时进户线必须是三相线。工业用电多使用6kV以上高压三相电进入厂区,经总降压变电所、总配电所或车间变电所变压成为较低电压后以三 芯城品牌采购网 2025-10-29 12545 三相电源
不间断电源 元器件百科 不间断电源简介不间断电源(UPS)是将蓄电池(多为铅酸免维护蓄电池)与主机相连接,通过主机逆变器等模块电路将直流电转换成市电的系统设备。它主要用于给单台计算机、计算机网络系统或其他电力电子设备如电磁阀、压力变送器等提供稳定、不间断的电力供应。不间断电源广泛应用于:矿山、航天、工业、通讯、国防、医院、计算机业务终端、网络服务器、网络设备、数据存储设备、应急照明系统、铁路、航运、交通、电厂、变电站、核 芯城品牌采购网 2025-10-29 4419 电源
光伏系统 元器件百科 光伏系统组成光伏系统是由太阳能电池方阵,蓄电池组,充放电控制器,逆变器等设备组成。其各部分设备的作用是:(1)太阳能电池方阵:在有光照情况下,电池吸收光能,电池两端出现异号电荷的积累,即产生"光生电压",这就是"光生伏打效应"。在光生伏打效应的作用下,太阳能电池的两端产生电动势,将光能转换成电能,是能量转换的器件。太阳能电池一般为硅电池,分为单晶硅太阳能电池,多晶硅太阳能电池和非晶硅太阳能电池三种 芯城品牌采购网 2025-10-29 12804 光伏
光调制器 元器件百科 光调制器作用在整体光通信的光发射、传输、接收过程中,光调制器被用于控制光的强度,因此其作用是非常重要的。以下是光调制器的作用:1.光调制器将电发射机射出的电信号转化成光信号,解决了输出信号的幅度和频率都随调制电流的变化而改变的问题;2.光调制器抑制了“啁啾”特性。光调制器分类一般光纤通讯系统中的外调制器包括四类:①声光(AO)调制器;②磁光调制器,即Farady调制器;③电光(EO)调制器④电吸收 芯城品牌采购网 2025-10-29 7830 光调制器
绝缘电阻检测仪 元器件百科 绝缘电阻检测仪技术参数1.输出电压:500V、1000V、2500V、5000V2.绝缘电阻:200GΩ3.精度:5%4.高压短路电流:3mA5.绝缘性能:电路与外壳间电压为1000VDC时,最大2000M绝缘电阻检测仪产品特性1、仪表的绝缘测试对于5400在500V最高可测20GΩ,在1000V最高可测40GΩ,在2500V最高可测100GΩ;对于5500型在2500V最高可测100GΩ,在50 芯城品牌采购网 2025-10-29 11948 绝缘电阻检测仪
三极管等效电阻 元器件百科 三极管等效电阻简介所谓三极管等效电阻,是指三极管在电路中起作用时,输入、输出端在电路中相当于多少欧姆电阻,换句话说,就是用一个阻值相同的电阻可以替代三极管的电阻特性。 芯城品牌采购网 2025-10-29 12410 三极管电阻
双向触发二极管 元器件百科 双向触发二极管检测方法(1)将万用表拨于R×1k(或R×10档),因为DIAC的V(BO)值都20V以上,所以测量正、反向电阻值均为无穷大。(2)按图4接好电路。由兆欧表提供击穿电压,并用直流电压表测量DIAC的正向转折电压V(BO)。然后调换DIAC的电极,测出反向转折电压V(BR)。最后检查转折电压的对称性。实例之一:选择ZC25-3型兆欧表,将500型万用表拨至50VDC档。被测触发二极管为 芯城品牌采购网 2025-10-29 7993 双向二极管
光分插复用器 元器件百科 光分插复用器分类1、阵列波导光栅型光分插复用器2、采用声光可调谐滤波器的光分插复用器3、光纤光栅型光分插复用器4、波导-光栅型光分插复用器光分插复用器结构特点光分插复用器由一输入/输出部,一下载部及一上传部组成一三端口器件。输入/输出部包括一双光纤插针,一与其相对应的第一耦合透镜和一滤光片,其中双光纤插针内的两根光纤分别作为光信号的输入端与输出端。下载部和上传部各包括一耦合透镜和一单光纤插针,安装 芯城品牌采购网 2025-10-29 9023 光分复用器
双层线路板 元器件百科 双层线路板简介双层线路板,是指双面有铜,而且有金属化孔的,也就是说双面有铜,而且孔里面也有铜,对于线路板双面来说,孔里有铜特别重要,因为最早,最困难的就是孔里有铜(如何在无铜的孔壁上有铜),这个是区分双面,单面的最重要的依据.但是假双面板,只是两面有铜,但是孔里面确没有铜,所以称孔内无铜,但是双面有铜的线路板,叫假双面板,看上去是双面板,实际和双面是有区别的。双层线路板这种电路板的两面都有布线,不 芯城品牌采购网 2025-10-29 10781 双层线路板
免维护蓄电池 元器件百科 免维护蓄电池定义密封免维护蓄电池采用九十年代最新设计的全密封结构及现代化生产工艺。使其具有高性能、长寿命、无污染、免维护、安全可靠的卓越性能。免维护蓄电池分类常用的蓄电池主要分为四类,分别为普通蓄电池、干荷蓄电池、湿荷蓄电池和免维护蓄电池四种。普通蓄电池普通蓄电池的极板是由铅和铅的氧化物构成,电解液是硫酸的水溶液。它的主要优点是电压稳定、价格便宜;缺点是比能低(即每公斤蓄电池存储的电能)、使用寿命 芯城品牌采购网 2025-10-29 10976 蓄电池
BNC视频接头 元器件百科 BNC视频接头产品介绍型号为XLT-UTP-602防水型双绞线传输器是一款不需要额外供电的传输设备,内部使用线圈为三组绕线高密度磁芯并压塑密封,使得传输效果更稳定,传输距离更远,杜绝潮湿引起的设备损坏等现象。它采用1对双绞线电缆来传输单路基带视频信号的传输设备,该设备兼容PAL、NTSC、SECAM基带视频符合信号。主要应用在安防、教学等领域的高清晰AV信号无源双绞线视频传输设备.在实际应用中,我 芯城品牌采购网 2025-10-29 10257 BNC视频接头
CMOS-IC 元器件百科 CMOS-IC相关标准及规则JEDEC最低工业标准JEDEC最低标准是电子工业协会(EIA)联合电子器件工程委员会(JEDEC)主持下制定的CMOS集成电路的最大额定范围和静态参数的最低工业标准。下表即为JEDEC制定的CMOS集成电路的最大额定范围:电源电压:VDD~VSS18~-0.5V(DC)直流输入电流:IIN士10mA(DC)输入电压:VIVSS≤VI≤VDD+0.5V(DC)器件功耗: 芯城品牌采购网 2025-10-29 5926 CMOS
COD快速测定仪 元器件百科 COD快速测定仪简介COD快速测定仪主要有COD主机和消解仪两部分组成,具有自动控温、计时、调零、线性回归、曲线储存和数据打印等功能。该仪器可广泛用于地表水、地下水、工业废水和生活污水等不同水体中多种检测参数的快速测定,是实验室水质检测、监测必备的专用型分析仪器,适用于环境监测、污水排放监控、生产监测、医疗卫生、临床检验、石油化工、冶金和电力等领域,是环境监测与控制的理想仪器。COD快速测定仪特点 芯城品牌采购网 2025-10-29 5966 COD测定仪
igbt中频电源 元器件百科 igbt中频电源基本信息IGBT中频电源是一种采用串联谐振式的中频感应熔炼炉电源,它的逆变器件为一种新型IGBT模块(绝缘栅双极性晶体管,德国西门子生产),它主要用于熔炼普通碳素钢、合金钢、铸钢、有色金属。具有熔化速度快、节能、高次谐波污染低等优点。IGBT中频电源为一种恒功率输出电源,逆变频率时刻跟踪负载变化,达到完全谐振,加少量料即可达到满功率输出,并且始终保持不变,所以熔化速度快;因逆变部分 芯城品牌采购网 2025-10-29 8259 电源
AT电源 元器件百科 AT电源简介AT与ATX共有四路输出(+5V、-5V、+12V、-12V),另向主板提供一个P.G.信号。AT电源供应器的体积是150mm×140mm×86mm。对于电脑启动与关机,如果使用AT电源,关闭电脑电源开关后,也就真正关闭了电源。AT电源应用ATX电源广泛应用于电脑中,与AT电源相比,它更符合"绿色电脑"的节能标准,它对应的主板是ATX主板。AT电源与ATX的区别1.ATX电源的特点与A 芯城品牌采购网 2025-10-29 6209 AT电源
AC-DC模块电源 元器件百科 AC-DC模块电源概述AC-DC模块电源:昂鼎的交流转直流模块电源,可以取代传统变压器、适配器,是一种小型化的开关电源,可以免除因为使用外挂电源适配器,配件又多又烦的困绕。AC-DC模块电源产品特色1.体积小、重量轻:昂鼎的交流转直流模块电源体积为市售产品的一半左右,可以让使用者产品轻薄短小。2.认证齐全:昂鼎的交流转直流模块电源UL、CE认证齐全,产品品质符合国际标准,是高阶产品选用的最好解决方 芯城品牌采购网 2025-10-29 11483 AC-DC电源
atx电源 元器件百科 atx电源特点ATX电源的特点:与AT电源相比,ATX电源增加了“+3.3V、+5VSB、PS-ONATX电源”三个输出。其中“+3.3V”输出主要是供内存用,而“+5VSB”、“PS-ON”输出则体现了ATX电源的特点。ATX电源最主要的特点就是,它不采用传统的市电开关来控制电源是否工作,而是采用“+5VSB、PS-ON”的组合来实现电源的开启和关闭,只要控制“PS-ON”信号电平的变化,就能控 芯城品牌采购网 2025-10-29 10781 atx电源
eps消防应急电源 元器件百科 eps消防应急电源产品用途适用于建筑物发生火情或其在紧急情况下为应急照明等各种灯具(含金属卤素灯、钠灯)提供集中供电的应急电源装置。eps消防应急电源功能介绍EPS(EmergencyPowerSupply)消防应急电源是一种集中消防应急供电电源,就在市电故障和异常时,能够继续向负载供电,确保不停电,以保护人民生命和财产的安全。主要应用于道路交通照明、场馆照明、楼宇消防逃生照明、消防泵、喷淋泵等消 芯城品牌采购网 2025-10-29 9109 eps消防应急电源
EPS单相应急照明电源 元器件百科 EPS单相应急照明电源优点1、设计简单,施工方便;2、综合造价低,节省投资;3、寿命长,主机寿命20年以上;4、免维护电池,可循环使用300―500次;5、管理简单自动瞬间切换,或无人值守;6、保持照度稳定,工作可靠,维护简便;EPS单相应急照明电源特点1、采用最新IGBT逆变技术;2、采用集中供电模式,无需特殊灯具;3、应急供电时,正弦波交流电输出,稳压、稳频、无噪音、无公害;4、可消防联动,可 芯城品牌采购网 2025-10-29 11230 EPS单相应急照明电源
DCDC模块电源 元器件百科 DCDC模块电源说明DC-DC是用开关电源的思想实现的。DC-DC有降压和升压两种,在这里只说降压,比如说你给DC-DC输入10V,DC-DC内部有个振荡器和斩波模块,例如,把在一个时间段允许10V通过,另一时间段内不允许10V通过(等于0v)。而在输出端有一个电容进行滤波,只要电容足够大,其结果就等于将中间的那个脉冲波形进行微积分,而输出一个5V的直流波形。这个降压的过程相对于稳压模块来说,更大 芯城品牌采购网 2025-10-29 5318 DC电源
分流电阻 元器件百科 分流电阻简介与某一电路并联的导体的电阻。在总电流不变的情况下,在某一电路上并联一个分路将能起到分流作用,部分电流由分路通过,使通过该部分电路的电流变小。分流电阻的阻值越小,分流作用越明显。在电流计线圈两端并联一个低阻值的分流电阻,就能使电流计的量程扩大,改装成安培表,可量度较大的电流。阻值的选择直接影响分流电流比例。在总电流不变的情况下,在某一电路上并联一个分路将能起到分流作用,部分电流由分路通过 芯城品牌采购网 2025-10-29 9813 分流电阻
压敏电阻器 元器件百科 压敏电阻器简述压敏电阻是电压敏感电阻器的简称,是一种非线性电阻元件。压敏电阻阻值与两端施加的电压大小有关,当加到压敏电阻器上的电压在其标称值以内时,电阻器的阻值呈现无穷大状态,几乎无电流通过。当压敏电阻器两端的电压略大于标称电压时,压敏电阻迅速击穿导通,其阻值很快下降,使电阻器处于导通状态。当电压减小至标称电压以下时,其阻值又开始增加,压敏电阻又恢复为高阻状态。当压敏电阻器两端的电压超过其最大限制 芯城品牌采购网 2025-10-29 13329 压敏电阻
保险丝电阻 元器件百科 保险丝电阻简介保险丝电阻定义:电阻器与保险丝在材质及构造上相类似,而保险丝型电阻器兼备二者的功能,平时可当做电阻器使用,一旦电流异常时就发挥其保险丝的作用来保护机器设备。保险丝电阻分类保险丝电阻可分为:金属皮膜保险丝电阻器、保险丝型绕线电阻器、保险丝型水泥电阻器。功率有:1/4W、1/2W、1W、2W几种,随着功率的增加,产品外观尺寸会不断变大。保险丝电阻阻值保险丝电阻的阻值一般较小,大部分小于1 芯城品牌采购网 2025-10-29 12071 保险丝电阻
全波光纤 元器件百科 全波光纤简介全波光纤的出现,使利用单一光纤实现多种通信业务有了更大的灵活性。传统的G.652光纤的传输系统主要用于第二波段(1280~1325nm)以及第三波段(1530~1565nm)两个低损耗窗口,其间的第五波段(1325~1530nm)由于水峰损耗的存在,一直未能开拓利用。在全波光纤中,由于水峰损耗的消失,遂令第五波段"天重变通途",使这一广阔波段的损耗小于第二波段,而其色散又低于第三波段, 芯城品牌采购网 2025-10-29 8668 光纤
光栅光谱仪 元器件百科 光栅光谱仪简介光谱分析方法作为一种重要的分析手段,在科研、生产、质控等方面,都发挥着极大的作用。无论是穿透吸收光谱,还是荧光光谱,拉曼光谱,如何获得单波长辐射是不可缺少的手段。由于现代单色仪可具有很宽的光谱范围(UV-IR),高光谱分辨率(到0.001nm),自动波长扫描,完整的电脑控制功能极易与其他周边设备融合为高性能自动测试系统,使用电脑自动扫描多光栅单色仪已成为光谱研究的首选。当一束复合光线 芯城品牌采购网 2025-10-29 5804 光栅光谱仪
光源 元器件百科 光源概述人造光源——灯在物理学中,指能发出一定波长范围的电磁波(包括可见光与紫外线、红外线、X射线等不可见光)的物体。通常指能发出可见光的发光体。凡物体本身能发光者,称做光源,又称发光体。例如:太阳、恒星、灯,以及燃烧着的物质等都是正在自行发光的光源。但像月亮表面、桌面、白纸、纸制书等依靠它们反射外来光才能使人们看到它们,这样的反射物不能称为光源或者发光体。在我们的日常生活中离不开可见光的光源。可 芯城品牌采购网 2025-10-29 10722 光源
单联双控开关 元器件百科 单联双控开关简介双控开关实际上就是两个单刀双掷开关串联起来后再接入电路。每个单刀双掷开关有三个接线端,分别连着两个触点和一个刀。具体接法:把两个单刀双掷开关的两个触点分别相连,即开关1的触点1与开关2的触点1相连,开关1的触点2与开关2的触点2相连,然后两个开关的刀做为整个开关的两端接入电灯的两端。这样当开关1和2的刀同时打向各自触点1或同时打向触点2时,电路接通,则灯亮。若两开关的刀一个打向触点 芯城品牌采购网 2025-10-28 5546 单联双控开关
单投刀开关 元器件百科 单投刀开关简介刀开关是带有动触头——闸刀,并通过它与底座上的静触头——刀夹座相楔合(或分离),以接通(或分断)电路的一种开关。单投刀开关主要参数1.额定绝缘电压,即最大额定工作电压;2.额定工作电流;3.额定工作制:分为8h工作制、不间断工作制两种;4.使用类别:根据操作负载的性质和操作的频繁程度分类。按操作频繁程度分为A类和B类,A类为正常使用的,B类则为操作次数不多的,如只用作隔离开关的;按操 芯城品牌采购网 2025-10-28 4903 单投刀开关
双联开关 元器件百科 双联开关特点双控开关与单控开关单控开关特点:通与断;双控开关特点:上通下断或下通上断。单控开关只作灯的一地点控制通断作用;双控开关可作为二地分别可控制灯通断作用。双联开关双联开关又分双联单控和双联双控:双联单控――组合在一起的两个单开,控制两个点位灯光;双联双控――多用于两个位置对一个点位灯光开关的控制,或两个点位灯光开关的控制,常用于楼梯间。双联开关安装连接双联开关用在两处控制一盏电灯的方法,如 芯城品牌采购网 2025-10-28 11410 双联开关
双联多控开关 元器件百科 双联多控开关简介多控,又称多极,表示一个开关按键可控制多个用电器区别于“单联双控开关”即“楼梯间开关”。单联单控开关相对简单,一个开关控制一个用电器。而双联双控开关能在多个不同方位控制同一个用电器,因而比较实用。是安装.维护电工必不可少的基本知识!双联多控开关设置步骤步骤1.长按需要设置区域开关的区域按键3秒,该区域按键指示灯闪烁,设置指示灯长亮,直到该区域按键和设置灯长闪,所有节点进入设置状态, 芯城品牌采购网 2025-10-28 12330 双联多控开关
同轴开关 元器件百科 同轴开关简介构成同轴开关的器件有铁氧体、PIN管、FET或BJT。铁氧体和PIN是经典的开关器件,表1给出了两种器件的性能比较,铁氧体的特点是功率大、损耗小,PIN的特点是快速,成本低。FET或BJT有增益,已经成为中、小功率开关的主要器件。各种器件的同轴开关都有自己的使用场合。同轴开关基本原理1、同轴开关器件原理铁氧体开关的原理是改变偏置磁场方向,实现导磁率的改变,改变了信号的传输常数,以达到开 芯城品牌采购网 2025-10-28 10849 同轴开关